Sangat Membantu

Matematika Terapan


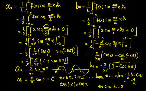
Matematika Terapan Week 13
pt.slideshare.net

Buku Ajar Matematika Terapan Berbasis Kompetensi Deepublish
penerbitbukudeepublish.com

Open Library Matematika Terapan Untuk Bisnis Dan Ekonomi Edisi 2003 2004
openlibrary.telkomuniversity.ac.id

Jurnal Ilmiah Matematika Dan Terapan
bestjournal.untad.ac.id

Matematika Terapan Untuk Bisnis Dan Ekonomi Dumairy Pdf 138https Scoutmails Com Index301 Php K Mat Mlm Software Source Code Free Download In Php
mlm-software-source-code-free-download-in-php.simplecast.com

Matematika Terapan Research Papers Academia Edu
www.academia.edu

Deny budi hertanto mkom.

Matematika terapan. Sebuah lapangan penting di dalam matematika terapan adalah statistika yang menggunakan teori peluang sebagai alat dan membolehkan penjelasan analisis dan peramalan gejala di mana peluang berperan penting. Matematika terapan mempelajari bagaimana konsep matematika dapat diterapkan dalam berbagai bidang selain matematika. Matematika terapan adalah bidang ilmu yang sangat luas demikian halnya dengan banyak ilmu terapan lain.

Sifatnya terapan aplikasi pada kehidupan sehari hari. Matematika terapan berkenaan dengan penggunaan alat matematika abstrak guna memecahkan masalah masalah konkret di dalam ilmu pengetahuan bisnis dan wilayah lainnya. Biasanya sebuah masalah pada bidang selain matematika misal.

Catatan kuliah matematika terapan i d 3 teknik mesin nilai mutlak akar kuadrat dan kuadrat pertemuan 4 catatan kuliah kalkulus i s 1 teknik mesin kerapatan desimal dan ketaksamaan pertemuan 3 catatan kuliah matematika teknik ii i s 1 mesin introduction of laplace transform pertemuan 1. 2 matematika terapan materi i. Buku ini diharapkan dapat memberikan gambaran mengenai konsep dan teknik dari berbagai metodologi matematika yang banyak digunakan dalam ekonomi.

Sebuah lapangan penting di dalam matematika terapan adalah statistika yang menggunakan teori peluang sebagai alat dan membolehkan penjelasan analisis dan peramalan gejala di mana peluang berperan penting. Bidang yang mulai populer di indonesia sekitar sepuluh tahun yang lalu adalah aktuaria alias ilm. Jual matematika terapan untuk bisnis dan ekonomi dumairy sains dengan harga rp 85000 dari toko online bursa buku bandung kota bandung.

Introduksi transformasi laplace 1. Pertanyaannya mau diterapkan di bidang apa. Matematika terapan matematika terapan berkenaan dengan penggunaan alat matematika abstrak guna memecahkan masalah masalah konkret di dalam ilmu pengetahuan bisnis dan wilayah lainnya.

Matematika merupakan salah satu ilmu pengetahuan dasar yang menjadi sumber dari ilmu pengetahuan terapan. Matematika terapan oleh. Selain itu ilmu ini sering dipakai untuk membantu mempermudah penyelesaian permasalahan yang ada di dalam berbagai bidang kehidupan.

Fakultas teknik universitas negeri yogyakarta semester ganjil tahun 20092010. Buku ini mencakup beberapa pokok bahasan yaitu kalkulus diferensial komparatif statik kalkulus.

Matematika Terapan Untuk Bisnis Dan Ekonomi Dumairy Pdf 97 In 2020 Baca Online Earth Science Reading Online
www.pinterest.com

Filsafat Matematika Pada Buku Panduan Matematika Terapan Whathefan
whathefan.com

Jual Matematika Terapan Untuk Bisnis Dan Ekonomi Kota Surabaya Best11book Tokopedia
www.tokopedia.com

Modul Matematika Terapan Pdf Document
vdocuments.mx

Jual Buku Matematika Terapan Kota Tangerang Teras Ilmu Tokopedia
www.tokopedia.com

Integral Dalam Matematika Terapan Dunia Informasi
andikastz.blogspot.com

Matematika Terapan Wikipedia Bahasa Indonesia Ensiklopedia Bebas
id.wikipedia.org

Matematika Terapan Research Papers Academia Edu
www.academia.edu

Buku Matematika Terapan Untuk Bisnis Dan Ekonomi Shopee Indonesia
shopee.co.id

Buku Matematika Terapan Untuk Bisnis Dan Ekonomi Edisi 2 Dumairy Lazada Indonesia
www.lazada.co.id

Matematika Terapan Untuk Bisnis Dan Ekonomi Soal Jawab Dumairy Belbuk Com
www.belbuk.com

Matematika Terapan
studylibid.com

Buku Akuntansi Matematika Terapan Untuk Bisnis Dan Ekonomi Buku Alat Tulis Buku Pelajaran Di Carousell
id.carousell.com

Matematika Terapan Untuk Bisnis Dan Ekonomi Dumairy Pdf 138 Peatix
matematika-terapan-untuk-bisnis-dan-ekonomi-dumair.peatix.com

Matematika Terapan Untuk Bisnis Dan Ekonomi Dumairy Lazada Indonesia
www.lazada.co.id

Matematika Terapan Untuk Bisnis Dan Ekonomi Jilid 2
penerbitinmedia.co.id

Modul Kuliah Matematika Terapan Ppt Download
slideplayer.info

Matematika Terapan Untuk Bisnis Dan Ekonomi Shopee Indonesia
shopee.co.id

Smp Pengayaan Ensiklopedia Matematika Terapan Matematika Dalam Televisi
siplah.id

Mengenal Matematika Terapan Yoberbagi
yoberbagi.id

Bagaimana Mengatasi Masalah Matematika Terapan Grafik Komputer Matematika Teks Komputer Png Pngegg
www.pngegg.com

Jual Matematika Terapan Kota Bandung Bookstore Izar Tokopedia
www.tokopedia.com

Ujian Uts Matematika Terapan Fix
id.scribd.com

Politeknik Negeri Jember Portal E Learning Jurusan Produksi Pertanian Matematika Terapan
jpp.polije.ac.id

Silabus Matematika Terapan Ii
id.scribd.com

Buku Ajar Matematika Terapan Untuk Teknisi Penerbit Deepublish
penerbitbukudeepublish.com

Matematika Terapan 1
dokumen.tips

Jual Buku Sma Kelas 10 Matematika Matematika Terapan Jilid 1 Oleh Cecep Anwar Hadi Firdos Santosa Adi Setiyawan Gramedia Digital Indonesia
ebooks.gramedia.com

Matematika Terapan Untuk Bisnis Dan Ekonomi By Dumairy Shopee Indonesia
shopee.co.id

Kapita Selekta Matematika Terapan Ii Itb Press
www.itbpress.itb.ac.id

Contoh Soal Matematika Terapan
www.slideshare.net

Matematika Terapan I Taufiqur Rokhman
taufiqurrokhman.wordpress.com

Mg3tneeqr8qmcm

Buku Panduan Matematika Terapan Berdikari Book
www.berdikaribook.red

Contoh Soal Matematika Terapan
www.slideshare.net

Matematika Terapan Untuk Ekonomi Dan Bisnis Dumairy Di Lapak Kania Shop Bukalapak
www.bukalapak.com


twitter.com

Tugas Makalah Matematika Terapan Himpunan Kelompok 10
studylibid.com

Materi Ks Matematika Terapan Dosen Dr Indarsih Up Math Ugm
s1math.fmipa.ugm.ac.id

Model Permainan Pertemuan 10 Mata Kuliah K0194 Pemodelan Matematika Terapan Tahun Ppt Download
slideplayer.com

Jual Buku Sma Kelas 10 Matematika Matematika Terapan Jilid 1 Oleh Cecep Anwar Hadi Firdos Santosa Adi Setiyawan Gramedia Digital Indonesia
ebooks.gramedia.com

Matematika Terapan I Taufiqur Rokhman
taufiqurrokhman.wordpress.com

Pdf Pembelajaran Matematika Terapan Dengan Model Petri Net Dan Matriks
www.researchgate.net

Make Ourself Be Better Praktikum Matematika Terapan D Iii 08 09
scienceaceh.blogspot.com

Matematika Terapan I Taufiqur Rokhman
taufiqurrokhman.wordpress.com

Matematika Terapan
www.yumpu.com

Jual Produk Ensiklopedia Matematika Terapan Murah Dan Terlengkap September 2020 Bukalapak
www.bukalapak.com

Matematika Terapan Matematika Diskrit Rinaldi Munir 2 Diktat Kuliah Dan Modul Zaid Romegar Pdf Document
fdokumen.com

Bpmtnovel
twitter.com

Cjr Matematika Terapan
id.scribd.com

Matematika Terapan Shopee Indonesia
shopee.co.id

Pengertian Matematika Terapan
kamaldc.co.id

Sastra Dan Kisah Perihal Matematika Terapan Harian Bhirawa Online
www.harianbhirawa.co.id

Tugas Matematika Terapan
id.scribd.com

Review Novel Buku Panduan Matematika Terapan Triskaidekaman Fashion Fimela Com
m.fimela.com

Buku Panduan Matematika Terapan Sebuah Novel Book By Triskaidekaman Gramedia Digital
ebooks.gramedia.com

Matematika Terapan I Taufiqur Rokhman
taufiqurrokhman.wordpress.com

Matematika Terapan Week 13
www.slideshare.net

Contoh Soal Matematika Terapan
www.slideshare.net

Matematika Terapan Untuk Bisnis Dan Ekonomi Dumairy 13 Pdf Peatix
matematika-terapan-untuk-bisnis-dan-ekonomi-dum-49.peatix.com

Program Matematika Terapan Program Studi Matematika
matematika.unpar.ac.id

Prodi Matematika Terapan Uph Dukung Program 1000 Aktuaris Indonesia Investor Id
investor.id

Contoh Soal Matematika Terapan
id.scribd.com

Jual Buku Panduan Matematika Terapan Sebuah Novel Online September 2020 Blibli Com
www.blibli.com

Struktur Organisasi
matematika.fmipa.unand.ac.id

Matematika Terapan Untuk Bisnis Dan Ekonomi Ed 2 Buku Ekonomi Bisnis Di Lapak Toko Buku Barokah Ilmu Bukalapak
www.bukalapak.com

Matematika Terapan I Taufiqur Rokhman
taufiqurrokhman.wordpress.com

Matematika Terapan 1 Matriks
dheasadhita.blogspot.com

Matematika Terapan Andi Original Di Lapak Ananda Books Bukalapak
www.bukalapak.com

Buku Matematika Terapan Untuk Bisnis Ekonomi Dumairy Buku Alat Tulis Buku Di Carousell
id.carousell.com

Pendapatan Nasional Matematika Terapan Untuk Ekonomi Youtube
www.youtube.com

Matematika Terapan I Taufiqur Rokhman
taufiqurrokhman.wordpress.com

Landasan Matematika Terapan Pertemuan Ke 2 Youtube
www.youtube.com

Admathedu Jurnal Ilmiah Pendidikan Matematika Ilmu Matematika Dan Matematika Terapan
journal.uad.ac.id

Matematika Murni Dan Matematika Terapan Cegun S Blog
www.cegunawan.net

Program Matematika Terapan Program Studi Matematika
matematika.unpar.ac.id

Pdf Matematika Terapan I
www.researchgate.net

Matematika Terapan I Taufiqur Rokhman
taufiqurrokhman.wordpress.com

Matematika Terapan Untuk Bisnis Dan Ekonomi Dumairy Pdf 138lkjh A Podcast On Anchor
anchor.fm

Adakah Sesuatu Yang Baru Dari Matematika
majalah1000guru.net

Jual Matematika Terapan Untuk Bisnis Edisi Kedua Dan Ekonomi Dumairy Jakarta Barat Cindya Ranggajati Tokopedia
www.tokopedia.com

Matematika Terapan I Taufiqur Rokhman
taufiqurrokhman.wordpress.com

Cabang Cabang Matematika Terapan
studylibid.com

Arti Matematika Terapan Kamus Besar Bahasa Indonesia Lektur Id
lektur.id

Matematika Terapan Week 12
www.slideshare.net

Jual Jelajah Asik Dengan Matematika Terapan Syarif Hidayatullah Jakarta Timur Mana Book Tokopedia
www.tokopedia.com

Matematika Terapan English Translation Examples Of Use Matematika Terapan In A Sentence In Indonesian
tr-ex.me

Mak Kelappon Matematika Terapan 1
femmyharissa186.blogspot.com

Matematika Terapan
studylibid.com

Ppt Mata Kuliah K0194 Pemodelan Matematika Terapan Tahun 2008 Powerpoint Presentation Id 5485002
www.slideserve.com

Statistik Bisnis Terapan Metode Dan Aplikasi Berbasis Excel Matematika Terapan Bisnis Teks Orang Png Pngegg
www.pngegg.com

Jual Sebuah Novel Buku Panduan Matematika Terapan Triskaidekaman Jakarta Timur Dnisa Toys Tokopedia
www.tokopedia.com

Matematika Terapan Untuk Bisnis Konomi Edisi Kedua Buku Majalah 798912466
www.olx.co.id

Matematika Terapan Untuk Bisnis Dan Ekonomi Dumairy
belajarbarengsay.web.app

close