Sangat Membantu

Matematika Za 4 Razred Gimnazije


Matematika 4 Zbirka Zadataka Element D O O Za Nakladnistvo
element.hr

K Vojin Dajovic Matematika Za 4 Razred Gimnazije Kupindo Com 35634891
www.kupindo.com

Brihtna Glavca Matematika 4 Zbirka Nalog Z Resitvami Za 4 Razred Osnovne Sole Sylvie Ginet Sylvie Chavaroche Pierre Louis Glaser Pierre Colin 9789610117728 Knjiga Emka Si
www.emka.si

Resene Vaje Iz Matematike Za Cetrti Letnik Gimnazije Openprof Com
si.openprof.com

Tempus Novum Matematika Za 4 Letnik Gimnazije
www.bolha.com

Matematika Iv Krug
internetprofa.com

Matematika 4 Zbirka Za Iv Razred Gimnazije Krug Kupindo Com 42586337
www.kupindo.com

Zbirka Zadataka Iz Hemije Za 3 I 4 Razred Gimnazije
www.knjizara.zavod.co.rs

Strucna Literatura Znanje Ucenje Obrazovanje Skolstvo Matematika 4 Udzbenik I Zbirka Zadataka Za 4 Razred Gimnazije Libri Otkup I Prodaja Rabljenih Knjiga
libri.hr

Matematika Za 1 Razred Gimnazije Banja Luka
www.scribd.com

Ucbenik Tempus Matematika Za 4 Letnik Gimnazij
www.bolha.com

Udzbenici Za 4 Razred Gimnazije Udzbenici I Skolski Pribor Burza Oglasi
burza.com.hr

Matematika 4 Udzbenik Sa Zbirkom Zadataka Za 4 Godinu Srednje Skole Endre Pap Zagorka Lozanov Crvenkovic Ratko Tosic Delfi Knjizare Sve Dobre Knjige Na Jednom Mestu
www.delfi.rs

Matematika Sa Zbirkom Zadataka Za 4 Razred Gimnazije I Strucne Skole Sa 4 Casa Nedeljno
najpovoljnijiudzbenici.rs

Udzbenici Za 4 Razred Gimnazije U Kompletu
www.njuskalo.hr

Matematickim Stazama 4 Radni Listovi Iz Matematike U 4 Razredu Osnovne Skole
shop.skolskaknjiga.hr

Matematika 4 Udzbenik I Zbirka Zadataka 2 Dio Logovita
www.logovita.ba

Tempus Cas Matematika Za 4 Letnik Gimnazije
www.bolha.com

Pzajjxiyc3t1m

Index Of Slike
www.mim-sraga.com

Matematika Za Radovedneze 4 Delovni Zvezek Za Matematiko V 4 Razredu Osnovne Sole Cvetka Freser Polonca Vesenjak 9789616287852 Knjiga Emka Si
www.emka.si

Inicijalni Test Br 1 Iz Matematike Za Drugi Razred Srednje Skole Za Gimnazije Za Tehnicke Skole Math Sheet Music Projects To Try
www.pinterest.com

Matematika Zbirka Zadataka Za 4 Razred Gimnazije Kupindo Com 62169717
www.kupindo.com

Matematika 4 Kontrolni Zadaci Element D O O Za Nakladnistvo
element.hr

Tehniska Gimnazija 4 Letnik
www2.arnes.si

Brezplacna Matematika Filmi Teorija Interaktivne Naloge V Casu Koronavirusa Youtube
www.youtube.com

Matematika Sa Zbirkom Zadataka Za 4 Razred Gimnazije Kupindo Com 60468909
www.kupindo.com

Matematika 3 4 Zbirka Zadataka Za 3 I 4 Razred Gimnazije I Sr
www.polovniudzbenici.com

Matematika 3 Analiticka Geometrija Trokut Pravci Zbirka Potpuno Rijesenih Zadataka Youtube
www.youtube.com

Otkup Gimnazija
ezop-antikvarijat.hr

Matematika V Gimnaziji Zbirka Nalog Za Maturo Prenovljeno Dusan Kavka 9789612417307 Knjiga Emka Si
www.emka.si

Pcelica Matematika 4 Razred Pdf Document
vdocuments.net

Tempus Novum Matematika Za 4 Letnik Gimnazij
www.bolha.com

Matematika Sa Zbirkom Zadataka Za 4 Razred Srednje Skole Zavod Kupindo Com 60468841
www.kupindo.com

Zbirka Zadataka Iz Matematike Za 4 Razred Srednjih Skola Adem Huskic Knjiga Ba Knjizara
www.knjiga.ba

Tempus Matematika Za 4 Letnik Gimnazije
www.bolha.com

Znam Za Vec Radovednih Pet 4 Dodatne Vaje Za Matematiko V 4 Razredu Mladen Kopasic 9789612718053 Knjiga Emka Si
www.emka.si

Matematika 4 1 Dio Razred 4 Razred Srednje Skole Za Zanimanje Komercijalist Komercijalistica
shop.skolskaknjiga.hr

Tempus Matematika Za 4 Letnik Gimnazij
www.bolha.com

Matematika 4 Zbirka Zadataka Za 4 Razred Gimnazije
www.njuskalo.hr

Zbirka Zadataka Iz Matematike Za 4 Razred Gimnazije Adem Huskic Pdf
www.scribd.com

Zadaci I Resheњa Shkolskog Takmicheњa Iz Matematike 2 2 2013 Matematika
zadaci.wordpress.com

Zbirka Resenih Zadataka Iz Matematike 4 Vene Bogoslavov
www.knjizara.zavod.co.rs

Zadaci I Resheњa Shkolskog Takmicheњa Iz Matematike 2 2 2013 Matematika
zadaci.wordpress.com

Zbirka Zadataka Iz Matematike Za 4 Razred Gimnazije Adem Huskic Pdf
www.scribd.com

Radovednih Pet 4 Samostojni Delovni Zvezek Za Matematiko V 4 Razredu Osnovne Sole Mladen Kopasic Majda Jurkovic 9789612713294 Knjiga Emka Si
www.emka.si

Matematika 4 Zbirka Nalog Za Gimnazije
www.kopija-nova.si

Matematika 4 Funkcije Besplatne Instrukcije Po Skolskoj Zbirci Pogl 3 3 Zad 7 Pod 5 Youtube
www.youtube.com

Tempus Matematika Za 4 Letnik Gimnazije 2008
www.bolha.com

Matematika Za 4 Razred Gimnazije Halo Oglasi
www.halooglasi.com

Brihtna Glavca Matematika 4 Besedilne Naloge Z Resitvami Za 4 Razred Osnovne Sole Mladen Kopasic 9789610133674 Knjiga Emka Si
www.emka.si

Matematika 1 Komplet 1 I 2 Dio Udzbenik Matematike S Dodatnim Digitalnim Sadrzajima I Zadatcima Za Rjesavanje U 1 Razredu Srednje Skole 3 I 4 Sata Tjedno
shop.skolskaknjiga.hr

Matematika 4 2 Dio Udzbenik I Zbirka Zadataka Za 4 Razred Gimnazije Antikvarijat Bono
antikvarijat-bono.com

Matematika 4 1 Dio Element D O O Za Nakladnistvo
element.hr

Lzjdye9oa Xxum

Matematika 4 Komplet 6000000003180 Knjiga Emka Si
www.emka.si

Matematika Za Cetvrti Razred Srednje Skole Mali Oglasi I Prodavnice Goglasi Com
www.goglasi.com

Strucna Literatura Znanje Ucenje Prirodne Znanosti Matematika Matematika 4 Udzbenik Za 4 Razred Gimnazije Libri Otkup I Prodaja Rabljenih Knjiga
libri.hr

4 Letnik Poslovna Matematika Za Srednje Sole
skillboard.si

Matematika 1 Zbirka Nalog Za 1 Letnik Gimnazije
www.evedez.si

Prirucnik Za Nastavnike Uz Udzbenik Matematika 4 Element D O O Za Nakladnistvo
element.hr

Matematika 4 3 Del Delovni Ucbenik Za Matematiko V 4 Razredu Osnovne Sole Terezija Uran Tatjana Hodnik Cadez 9789617053272 Knjiga Emka Si
www.emka.si

Matematika 4 2 Dio Razred 4 Razred Opce Jezicne I Klasicne Gimnazije
shop.skolskaknjiga.hr

Zadaci I Resheњa Shkolskog Takmicheњa Iz Matematike 2 2 2013 Matematika
zadaci.wordpress.com

Matematika Sa Zbirkom Zadataka Za 4 Razred Gimnazije
www.knjizara.zavod.co.rs

Predmet Racunske Operacije In Njihove Lastnosti
ucilnice.arnes.si

K Vojin Dajovic Matematika Za 4 Razred Gimnazije Kupindo Com 35634891
www.kupindo.com

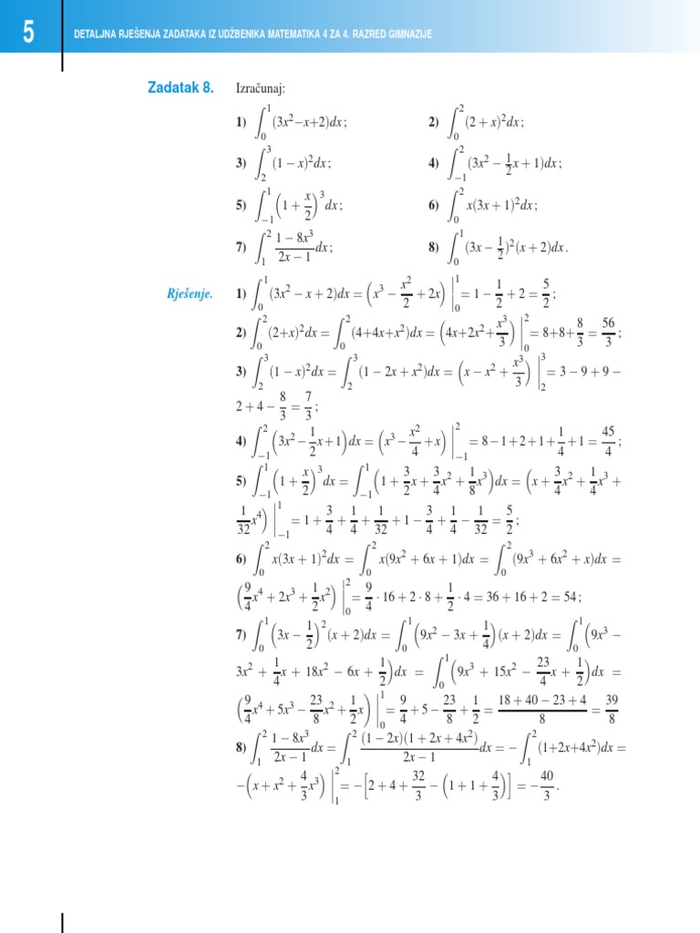
Zadatak 8 Rjeˇsenje
www.scribd.com

Tempus Novum Matematika Za Gimnazije Ucbenik Za Matematiko Za Gimnazijsko Izobrazevanje Gregor Pavlic Marina Rugelj Dusan Kavka Janez Sparovec 9789612418007 Knjiga Emka Si
www.emka.si

Dzs Spletni Nakupovalni Center
www.dzs.si

Matematika 4 Ucbenik Za Matematiko Za Gimnazijskega Izobrazevanja Darjo Felda Mirjam Bon Klanjscek 9789610202233 Knjiga Emka Si
www.emka.si

Matematika 4 Ispiti Znanja Element D O O Za Nakladnistvo
element.hr

Gimnazija Vladimira Nazora Zadar Udzbenici Za 1 Razred Opca Gimnazija
www.yumpu.com

M4 P4 2 Z16
www.scribd.com

4 Letnik Matematika
matka.splet.arnes.si

Matematika 4 Plus Zbirka Zadataka Za Dodatnu Nastavu Matematike U 4 Razredu Osnovne Skole
shop.skolskaknjiga.hr

Tehniska Gimnazija 4 Letnik
www2.arnes.si

Matematika 4 Ucbenik Za Matematiko V 4 Razredu Osnovne Sole Prenovljeno Marina Rugelj Tanja Bogataj Karla Leban Lara Kozarski Tadeja Drasler 9789610143826 Knjiga Emka Si
www.emka.si

Ugledna Stranica Odlicne Ponude 2017 Prodaje Se Sirom Svijeta Matematika Za 4 Razred Srednje Skole Casasdelmarpv Com
www.casasdelmarpv.com

Matematika Za 4 Letnik Gimnazij
www.bolha.com

Matematika Za 4 Razred Gimnazije
www.njuskalo.hr

Zbirka Zadataka S Pismenih Ispita Za 4 Razred Gimnazije
shop.skolskaknjiga.hr

Tempus Novum Ucbenik Matematike Za 4 Letnik Gimnazije
www.bolha.com

Rijeseni Zadaci Po Skolskoj Zbirci Matematika 4 Limesi Po Dakic 2 4 9 9 Youtube
www.youtube.com

Ugledna Stranica Odlicne Ponude 2017 Prodaje Se Sirom Svijeta Matematika Za 4 Razred Srednje Skole Casasdelmarpv Com
www.casasdelmarpv.com

Matematika Za Prvi Razred Gimnazije
dokumen.tips

Matematika Za Gimnazije Prenovljeno
www.knjigarna.com

Brezplacni Spletni Ucbeniki In Delovni Zvezki
www.inovatio.si

Matematika Za 4 Razred Srednje Skole Kupindo Com 58658603
www.kupindo.com

Biologija 4 Razred Gimnazije Prirodno Matematickog Smera
www.knjizara.zavod.co.rs

Www Rabljeni Ucbeniki Com
www.rabljeni-ucbeniki.com

4 Razred Www Bettymatika Com
www.bettymatika.com

Data Status Matematika Sa Zbirkom Zadataka Za 4 Razred Gimnazije
www.datastatus.rs

Matematika Sa Zbirkom Zadataka Za 4 Razred Srednje Skole Gimnazije Prirodno Matematickog Smera I Op
www.knjizara.zavod.co.rs

Zbirka Zadataka Iz Matematika Za 4 Razred Gimnazije
www.njuskalo.hr

Blog Archives Linoasplash
linoasplash779.weebly.com

Matematika 4 1 Dio Razred 4 Razred Prirodoslovno Matematicke Gimnazije
shop.skolskaknjiga.hr

Matematika 4 2 Dio Udzbenik I Zbirka Zadataka Za 4 Razred Prirodoslovno Matematicke Gimnazije Antikvarijat Bono
antikvarijat-bono.com

Tempus Novum Ucbenik Za Matematiko 4 Letnik
www.bolha.com

27049218 Matematika 4 Razred Srednje Skole Pdf Google Drive
docs.google.com

close