Sangat Membantu

Gambar Skema Tentang Pembagian Sistem Bilangan Real


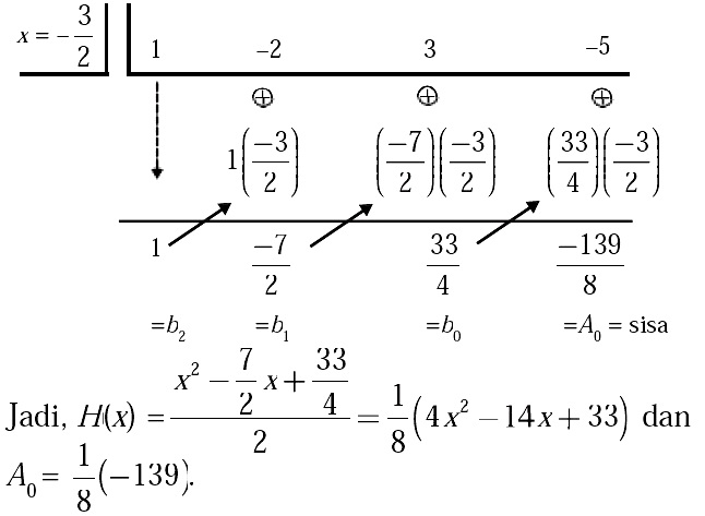
Suku Banyak Pembagian Teorema Sisa Teorema Faktor Contoh Soal
www.studiobelajar.com

Sistem Bilangan Ppt Download
slideplayer.info

Matematika Dasar I Himpunan Bilangan Real Ppt Download
slideplayer.info

Skema Bilangan Real Sistem Bilangan Garis Bilangan Penjelasan Interval Sifat Bilangan Real Dan Jenis Jenis Selang Duniakumu Laman 2
duniakumu.com

Matematika Dasar I Himpunan Bilangan Real Ppt Download
slideplayer.info

Himpunan Bilangan Real King Of Civil Engineering
adjisutama.wordpress.com

Bab I Bilangan I Skema Hierarkis Bilangan Bab Iii Pdf Dimana P Q Adalah Bilangan Bulat Dan Bilangan Desimalnya Selalu Berulang Misalnya 1 0 3333 Berulang Bilangan Irasional Bilangan Yang
dokumen.tips

Pembagian Polinomial Oleh Polinomial Derajat Dua Dengan Cara Bersusun Horner Dan Horner Kino M4th Lab
www.m4th-lab.net

Elisa On Twitter Pas Program Utangan World Bank Mulai Ada Sedikit Bagian Krukut Jadi Tugas Dinas Pu Skrg Dipecah Tmsk Jadi Dinas Sda Lalu Yg Cideng Malah Jadi Kemenpu Cipta Karya
twitter.com

Suku Banyak Pembagian Teorema Sisa Teorema Faktor Contoh Soal
www.studiobelajar.com

2

Berbagai Macam Bilangan Another Satria S Project
satriaskyterror.wordpress.com

Rumus Contoh Soal Suku Banyak Matematika Materi Teorema Faktor Dan Sisa Persamaan Nilai Pembagian Biasa Bentuk Umum Horner Substitusi
www.nafiun.com

Sistem Bilangan Real
id.scribd.com

Menerapkan Operasi Pada Bilangan Real L Ppt Download
slideplayer.info

Matematika Dasar Bag1
www.slideshare.net

Ii Himpunan Bilangan Dan Pertidaksamaan
studylibid.com

Sistem Bilangan Hera Ppt 1 450kb
id.123dok.com

Https Si Akakom Ac Id E Learning Matematika Matematika 20dasar Sistem 20bilangan Pdf

Pengertian Bilangan Macam Macam Bilangan Dan Contohnya Lengkap Pelajaran Sekolah Online
www.pelajaran.co.id

Bilangan Real
www.slideshare.net

Bab I Bilangan I Skema Hierarkis Bilangan
studylibid.com

Bilangan Bulat Positif Pengertian Dan Contoh Soalnya
rumusbilangan.com

Pertemuan 1 Sistem Bilangan Real Irayanti Adriant S Si Mt Ppt Download
slideplayer.info

Skema Bilangan
matematikaakuntansi.blogspot.com

Matematika Kita Materi Matematika Kelas X Bab 1 Operasi Bilangan Real
febriantoni79.blogspot.com

Bilangan Real Dan Rasional Sementara Cara Menerangkannya
www.slideshare.net

Bab 1 Himpunan Mhs
id.scribd.com

1 Pengantar Sistem Bilangan Real Ppt Kalkulus Pengantar Sistem Bilangan Real Skema Bilangan Real Bilangan Kom Pleks Bilangan Real Bil Rasional Bil Course Hero
www.coursehero.com

1 Bil Real
pdfslide.tips

Standar Kompetensi Memecahkan Masalah Berkaitan Dengan Konsep Operasi Bilangan Real Kompetensi Dasar Menerapkan Operasi Pada Bilangan Real Indikator Ppt Download
slideplayer.info

Karakteristik Pemahaman Konsep Pembagian Pada Siswa Visual
id.123dok.com

Penggolongan Akun Akuntansi Lebih Mudah Jika Menggunakan Accurate
accuratecloud.id

Sistem Bilangan Indokamathedu
indokamathedu.wordpress.com

Skema Bilangan
id.scribd.com

Independent Finance Society Philanthropy Ifsp By Research Achievement Tazkia Plus Rubrik Tazkia Plus Medium
medium.com

Skema Bilangan Real Sistem Bilangan Garis Bilangan Penjelasan Interval Sifat Bilangan Real Dan Jenis Jenis Selang Duniakumu Laman 2
duniakumu.com

Konsep Dasar Matematika Dalam Ekonomi Bisnis Dosen Perbanas
dosen.perbanas.id

Pengertian Dan Contoh Bilangan Bulat
blog.ruangguru.com

Pdf Sebuah Model Untuk Menentukan Skema Profit Sharing Diantara Pekerja Dan Pelanggan Pada Bisnis Ritel
www.researchgate.net

Kuliah Perancangan Sistem Embedded Situs Sekolah Teknik Elektro Dan Informatika
embedded.stei.itb.ac.id

Bab I Bilangan I Skema Hierarkis Bilangan
studylibid.com

Sistem Bilangan Real Operasi Persentase Macam Sifat
pakdosen.pengajar.co.id

Modul Manajemen Matematika Ekonomi Sistem Bilangan Internet Clan
internetclan.blogspot.com

Sistem Bilangan Real Operasi Persentase Macam Sifat
pakdosen.pengajar.co.id

Skema Bilangan Zefy Arlinda
zefyarlinda.wordpress.com

Pengertian Dan Contoh Bilangan Bulat
blog.ruangguru.com

Rumus Contoh Soal Suku Banyak Matematika Materi Teorema Faktor Dan Sisa Persamaan Nilai Pembagian Biasa Bentuk Umum Horner Substitusi
www.nafiun.com

Pertemuan 1 Sistem Bilangan Real Irayanti Adriant S Si Mt Ppt Download
slideplayer.info

1 Pengantar Sistem Bilangan Real Ppt Kalkulus Pengantar Sistem Bilangan Real Skema Bilangan Real Bilangan Kom Pleks Bilangan Real Bil Rasional Bil Course Hero
www.coursehero.com

Bilangan Real Pengertian Bilangan Real Dan Contohnya Advernesia
www.advernesia.com

2

Suku Banyak Pembagian Teorema Sisa Teorema Faktor Contoh Soal
www.studiobelajar.com

2

1 Sistem Bilangan
www.scribd.com

Skema Bilangan Zefy Arlinda
zefyarlinda.wordpress.com

Devendor Blogspot Com Matematika Bilangan Real
devendor.blogspot.com

Bilangan Bulat Materi Bilagan Bulat Himpunan Soal Pembahasan
www.yuksinau.id

Sistem Bilangan Riil Bagian 1
id.scribd.com

Bab I Bilangan I Skema Hierarkis Bilangan Bab Iii Pdf Dimana P Q Adalah Bilangan Bulat Dan Bilangan Desimalnya Selalu Berulang Misalnya 1 0 3333 Berulang Bilangan Irasional Bilangan Yang
vdokumen.com

Bilangan Real Dan Rasional Sementara Cara Menerangkannya
www.slideshare.net

Pengertian Dan Contoh Bilangan Bulat
blog.ruangguru.com

Matdas 4 Bilangan Pdf Document
fdokumen.com

Rangkuman Contoh Soal Pembahasan Suku Banyak
tanya-tanya.com

Http Devendor Blogspot Com 2011 09 Teguh Aryo Nugroho V Html

Https Si Akakom Ac Id E Learning Matematika Matematika 20dasar Sistem 20bilangan Pdf

1 1 Latar Belakang Bab I Pendahuluan Dengan Cara Masing Masing Peserta Diberi Suatu Bagian Dari Rahasia Share Sedemikian Pdf Free Download
docplayer.info

Pdf Bab 1 Sistem Bilangan Riil Munir Misbahul Academia Edu
www.academia.edu

1 Tipe Data Pdf 45kb Pdf Document
fdokumen.com

Casmudi Berbagi March 2018
www.casmudiberbagi.com

2

Filsafat Dan Ekonomi Ikhtiar Membongkar Nalar Dan Upaya Mencari Titik Temu 1 Indoprogress
indoprogress.com

Karakteristik Pemahaman Konsep Pembagian Pada Siswa Visual
id.123dok.com

Skema Bilangan Real Sistem Bilangan Garis Bilangan Penjelasan Interval Sifat Bilangan Real Dan Jenis Jenis Selang Duniakumu Laman 2
duniakumu.com

Bab 2 Sistem Bilangan Riil Pdf Download Gratis
docplayer.info

Software Testing Dalam Lingkup Software Engineering Software Engineering Ittp
se.ittelkom-pwt.ac.id

Doc Bilangan Real Mega Kartika Academia Edu
www.academia.edu

Skema Bilangan Real Sistem Bilangan Garis Bilangan Penjelasan Interval Sifat Bilangan Real Dan Jenis Jenis Selang Duniakumu Laman 2
duniakumu.com

Sistem Bilangan Riil Pdf Free Download
docplayer.info

2

Perluasan Skema
id.scribd.com

Ppt Bilangan Real Powerpoint Presentation Free Download Id 6358104
www.slideserve.com

Rumus Contoh Soal Suku Banyak Matematika Materi Teorema Faktor Dan Sisa Persamaan Nilai Pembagian Biasa Bentuk Umum Horner Substitusi
www.nafiun.com

Ppt Bilangan Real Powerpoint Presentation Free Download Id 6358104
www.slideserve.com

Ppt Bilangan Real Powerpoint Presentation Free Download Id 6358104
www.slideserve.com

Skema Irigasi Jateng Dinas Pekerjaan Umum Sumber Daya Air Dan Tata Ruang Provinsi Jawa Tengah
pusdataru.jatengprov.go.id

Rangkuman Contoh Soal Pembahasan Suku Banyak
tanya-tanya.com

Rumus Contoh Soal Suku Banyak Matematika Materi Teorema Faktor Dan Sisa Persamaan Nilai Pembagian Biasa Bentuk Umum Horner Substitusi
www.nafiun.com

Bilangan Real Dan Rasional Sementara Cara Menerangkannya
www.slideshare.net

Berapa Penghasilan Driver Gojek Perbulan Alterra Bills
bills.alterra.id

Bab 2 Sistem Bilangan Riil Pdf Download Gratis
docplayer.info

Bilangan Real
www.slideshare.net

Bilangan Ppt Download
slideplayer.info

Pengertian Dan Contoh Bilangan Bulat
blog.ruangguru.com

Bilangan Real Dan Rasional Sementara Cara Menerangkannya
www.slideshare.net

Materi Matematika Jenis Jenis Bilangan Dan Contohnya Duniamatematika Com
duniamatematika.com

Sistem Bilangan Real Operasi Persentase Macam Sifat
pakdosen.pengajar.co.id

Bilangan Real Nwikiwiki
nwikiwiki.wordpress.com

Ppt Bilangan Real Powerpoint Presentation Free Download Id 6358104
www.slideserve.com

Bilangan Real Nwikiwiki
nwikiwiki.wordpress.com

close