Sangat Membantu

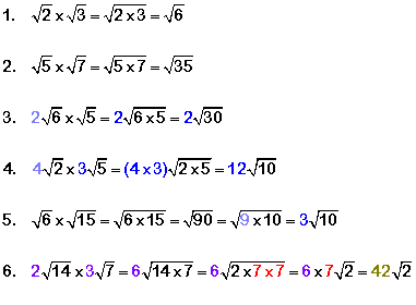
Contoh Soal Perkalian Bilangan Real Dengan Bentuk Akar


Rangkuman Dan Soal Bilangan Berpangkat Dan Bentuk Akar Materi Belajar Dari Rumah Di Tvri Untuk Smp Semua Halaman Bobo
bobo.grid.id

Matematika Kelas 9 Bilangan Bentuk Akar Sifat Sifat Dan Cara Merasionalkannya
blog.ruangguru.com

Bentuk Akar Materi Lengkap Matematika
www.materimatematika.com

Doc Matematika Kelas X Bab Operasi Bentuk Akar Nabila Namirah Academia Edu
www.academia.edu

Bentuk Akar Matematika Sifat Operasi Hitung Merasionalkan Soal
www.yuksinau.id

Perkalian Bilangan Real Dengan Bentuk Akar 3 4 2 162 Brainly Co Id
brainly.co.id

Bentuk Akar
studylibid.com

Contoh Soal Bentuk Akar Eksponen Logaritma Dan Pengertiannya Dosenpintar
dosenpintar.com

Bentuk Akar Sifat Operasi Hitung Merasionalkan Cara Menyederhanakan Dan Contoh Soalnya Lengkap Tutorialbahasainggris Co Id
tutorialbahasainggris.co.id

Operasi Pada Bentuk Akar
mafia.mafiaol.com

Contoh Soal Bilangan Berpangkat Bulat Positif Negatif Dan Nol Buat Kamu Anak Kelas 9
www.quipper.com

Akar Dan Pangkat
www.slideshare.net

Materi Perkalian Bentuk Akar Beserta Contoh Soal Dan Pembahasan Materi Belajar
www.materi4belajar.com

Matematika Kelas 9 Bilangan Bentuk Akar Sifat Sifat Dan Cara Merasionalkannya
blog.ruangguru.com

Contoh Soal Bentuk Akar Eksponen Logaritma Dan Pengertiannya Dosenpintar
dosenpintar.com

Bilangan Berpangkat Dan Bentuk Akar Materi Soal Artikel Materi
www.artikelmateri.com

Perpangkatan Dan Bentuk Akar Materi Dan Contoh Soal Magister Matematika
www.magistermatematika.com

Soal Dan Pembahasan Tentang Bilangan Berpangkat Dan Bentuk Akar Guru Ilmu Sosial
www.ilmusosial.id

2 Operasi Perkalian Dan Pembagian Bentuk Akar Pembahasan Soal Un Matematika Smp Tahun 2017 Youtube
www.youtube.com

Pengertian Bilangan Berpangkat Pecahan Beserta Contoh Soalnya Berpendidikan Com
www.berpendidikan.com

Contoh Soal Operasi Bilangan Berpangkat Dan Bentuk Akar Dan Logaritma Kumpulan Soal Pelajaran 8
soalujian-78.blogspot.com

Bilangan Real
www.slideshare.net

Bilangan Berpangkat Dan Bentuk Akar Pengertian Sifat Contoh Soal
rumusbilangan.com

Bilangan Berpangkat Jenis Sifat Operasi Hitung Soal Penyelesaian
www.yuksinau.id

Oparasi Aljabar Pada Bentuk Akar Beserta Sifat Dan Contoh Soalnya Berpendidikan Com
www.berpendidikan.com

1
encrypted-tbn0.gstatic.com

Contoh Soal Bentuk Akar Eksponen Logaritma Dan Pengertiannya Dosenpintar
dosenpintar.com

Soal Bilangan Berpangkat Bulat Positif Negatif Dan Nol
www.utakatikotak.com

Cara Menyederhanakan Bentuk Akar
mafia.mafiaol.com

Operasi Bentuk Akar Rumus Contoh Soal Dan Pembahasan Pengertian
bpengertian.blogspot.com

Contoh Soal Bilangan Berpangkat Bulat Positif Negatif Dan Nol Buat Kamu Anak Kelas 9
www.quipper.com

Bilangan Berpangkat Dan Bentuk Akar Materi Soal Artikel Materi
www.artikelmateri.com

Contoh Soal Bentuk Akar Eksponen Logaritma Dan Pengertiannya Dosenpintar
dosenpintar.com

Operasi Bentuk Akar Rumus Contoh Soal Dan Pembahasan Pengertian
bpengertian.blogspot.com

Soal Dan Pembahasan Tentang Bilangan Berpangkat Dan Bentuk Akar Guru Ilmu Sosial
www.ilmusosial.id

Bilangan Berpangkat Dan Bentuk Akar Anikasari
anikasari.wordpress.com

Bilangan Pangkat Pecahan Pengertian Rumus Sifat Operasi Hitung Dan Contoh Soal Bilangan Pangkat Pecahan Lengkap Pelajaran Sekolah Online
www.pelajaran.co.id

Bilangan Berpangkat Dan Bentuk Akar Pengertian Sifat Contoh Soal
rumusbilangan.com

Perkalian Dalam Bentuk Akar 10 X 2 Solusi Matematika
solusimatematika85.blogspot.com

Operasi Pembagian Bentuk Akar
mafia.mafiaol.com

Mengenal Bentuk Akar Dilengkapi Soal Latihan Dan Pembahasan Dari Buku Matematika Smp Kelas Ix Kurikulum 2013 Defantri Com
www.defantri.com

Bentuk Akar Materi Lengkap Matematika
www.materimatematika.com

Materi Matematika Dan Soal Matematika Bilangan Berpangkat Dan Bentuk Akar
matematika-go.blogspot.com

Bilangan Berpangkat Dan Bentuk Akar 9
studylibid.com

Bentuk Akar Matematika Sifat Operasi Hitung Merasionalkan Soal
www.yuksinau.id

Bentuk Akar Materi Lengkap Matematika
www.materimatematika.com

Doc Bentuk Pangkat Negatif Raffa Rifai Academia Edu
www.academia.edu

Bilangan Berpangkat Bentuk Akar Dan Logaritma Judul Situs
anandafitri.home.blog

Bilangan Berpangkat Dan Bentuk Akar Pengertian Sifat Contoh Soal
rumusbilangan.com

Contoh Soal Operasi Bilangan Berpangkat Dan Bentuk Akar Kumpulan Soal Pelajaran 8
soalujian-78.blogspot.com

Bilangan Berpangkat Dan Bentuk Akar Anikasari
anikasari.wordpress.com

Matematika Contoh Soal Perkalian Bilangan Real Dengan Bentuk Akar Youtube
www.youtube.com

Bilangan Berpangkat Dan Bentuk Akar Hubungan Ben Tuk Akar Dengan Pangkat Pecahan Pada Pembahasan Pdf Document
fdokumen.com

Materi Matematika Dan Soal Matematika Bilangan Berpangkat Dan Bentuk Akar
matematika-go.blogspot.com

Contoh Soal Bentuk Akar Eksponen Logaritma Dan Pengertiannya Dosenpintar
dosenpintar.com

Bilangan Berpangkat Dan Bentuk Akar Eksponen
www.slideshare.net

2

Menerapkan Operasi Pada Bentuk Akar Contoh Soal
id.scribd.com

Bentuk Pangkat Akar Logaritma Mari Bermain Dengan Matematika
belajarmatematikaasyik.weebly.com

Bilangan Berpangkat Dan Bentuk Akar Materi Soal Artikel Materi
www.artikelmateri.com

Kenali Sifat Dari Bentuk Akar Dan Cara Operasi Hitungnya Kelas Pintar
www.kelaspintar.id

Contoh Soal Bentuk Akar Eksponen Logaritma Dan Pengertiannya Dosenpintar
dosenpintar.com

Bilangan Berpangkat Jenis Sifat Operasi Hitung Soal Penyelesaian
www.yuksinau.id

Bilangan Berpangkat Dan Bentuk Akar Anikasari
anikasari.wordpress.com

Bentuk Akar Matematika Sifat Operasi Hitung Merasionalkan Soal
www.yuksinau.id

Bentuk Akar Materi Lengkap Matematika
www.materimatematika.com

Materi Perkalian Bentuk Akar Beserta Contoh Soal Dan Pembahasan Materi Belajar
www.materi4belajar.com

Oparasi Aljabar Pada Bentuk Akar Beserta Sifat Dan Contoh Soalnya Berpendidikan Com
www.berpendidikan.com

Soal Dan Pembahasan Tentang Bilangan Berpangkat Dan Bentuk Akar Guru Ilmu Sosial
www.ilmusosial.id

Matematika Kelas 9 Bilangan Bentuk Akar Sifat Sifat Dan Cara Merasionalkannya
blog.ruangguru.com

Matematika Smk Kelas X
www.slideshare.net

Materi Matematika Sma Kelas 10 Bentuk Akar Deserta Contoh Soal
mathematics4us.com

Tentukan Hasil Perkalian Dan Pembagian Bentuk Akar Berikut A 5 2 B 2 13 9 C 6 5 12 Brainly Co Id
brainly.co.id

Bank Soal Dan Pembahasan Matematika Dasar Bentuk Akar 24 Defantri Com
www.defantri.com

Contoh Soal Materi Perkalian Bentuk Akar Dan Pembahasannya Materi Belajar
www.materi4belajar.com

Tugas Telmat Ii Eksponen Logaritma
www.slideshare.net

Materi Matematika Dan Soal Matematika Bilangan Berpangkat Dan Bentuk Akar
matematika-go.blogspot.com

Imath Operasi Hitung Bentuk Akar
imathsolution.blogspot.com

Contoh Soal Bentuk Akar Eksponen Logaritma Dan Pengertiannya Dosenpintar
dosenpintar.com

Akar Dan Pangkat
www.slideshare.net

Materi Matematika Sma Kelas 10 Bentuk Akar Deserta Contoh Soal
mathematics4us.com

Cara Merasionalkan Bilangan Bentuk Akar Disertai Dengan Contohnya Myrightspot Com
www.myrightspot.com

Materi Matematika Sma Kelas 10 Bentuk Akar Deserta Contoh Soal
mathematics4us.com

Operasi Perkalian Bentuk Akar
mafia.mafiaol.com

Bilangan Real
www.slideshare.net

Soal Bilangan Berpangkat Bulat Positif Negatif Dan Nol
www.utakatikotak.com

Contoh Soal Pangkat Akar Dan Logaritma Pilihan Ganda Pembahasan
soalkimia.com

Bilangan Berpangkat Dan Bentuk Akar Hubungan Ben Tuk Akar Dengan Pangkat Pecahan Pada Pembahasan Pdf Document
fdokumen.com

Bilangan Berpangkat Dan Bentuk Akar Anikasari
anikasari.wordpress.com

Imath Operasi Hitung Bentuk Akar
imathsolution.blogspot.com

Bilangan Berpangkat Dan Bentuk Akar Anikasari
anikasari.wordpress.com

Oparasi Aljabar Pada Bentuk Akar Beserta Sifat Dan Contoh Soalnya Berpendidikan Com
www.berpendidikan.com

Bilangan Berpangkat Dan Bentuk Akar Anikasari
anikasari.wordpress.com

Contoh Soal Pangkat Akar Dan Logaritma Pilihan Ganda Pembahasan
soalkimia.com

Bilangan Pangkat Dan Bilangan Bentuk Akar Wayae Belajar
wayaebelajar.net

Materi Matematika Dan Soal Matematika Bilangan Berpangkat Dan Bentuk Akar
matematika-go.blogspot.com

Akar Kuadrat Matematika Bersama Soal Soal Dan Jawaban
www.pinterpandai.com

Pengertian Dan Sifat Bilangan Berpangkat Beserta Contoh Soalnya
www.belajarmtk.com

Pengertian Bilangan Berpangkat Pecahan Beserta Contoh Soalnya Berpendidikan Com
www.berpendidikan.com

Cara Mudah Penjumlahan Dan Pengurangan Bentuk Akar Soal Dan Pembahasan I Youtube
www.youtube.com

Cara Merasionalkan Bilangan Bentuk Akar Disertai Dengan Contohnya Myrightspot Com
www.myrightspot.com

close