Sangat Membantu

Bulat Negatif Contoh Soal Bilangan Berpangkat Negatif


Bilangan Berpangkat Jenis Sifat Operasi Hitung Soal Penyelesaian
www.yuksinau.id

Bilangan Berpangkat Bulat Positif Febiriani
id.scribd.com

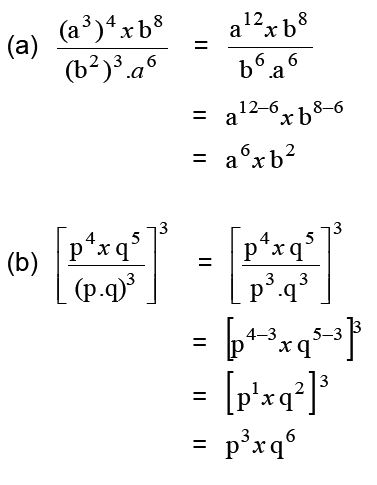
Contoh Soal Bilangan Berpangkat Matematika Smp Dan Penyelesaiannya Soalfismat Com
soalfismat.com

Ringkasan Bilangan Berpangkat Dan Bentuk Akar Dan
mark71.25u.com

Pengertian Bilangan Berpangkat Nol Beserta Contoh Soal Dan Pembahasannya Berpendidikan Com
www.berpendidikan.com

Materi Matematika Smp Kelas Ix Bilangan Berpangkat Dan Bentuk Akar Bagian 2 Duniamatematika Com
duniamatematika.com

Cara Mengerjakan Bilangan Berpangkat Banyak Guru Ilmu Sosial
www.ilmusosial.id

Cara Mengerjakan Bilangan Berpangkat Negatif Guru Ilmu Sosial
www.ilmusosial.id

Bilangan Berpangkat Bulat Positif Youtube
www.youtube.com

Bahan Ajar Materi Bilangan Berpangkat K13 Untuk Kelas Vii Smp
www.slideshare.net

Contoh Soal Dan Pembahasan Sifat Sifat Bilangan Bulat Smp Kelas 7 Vii Terbaru
www.sheetmath.com

Soal Bilangan Berpangkat Bulat Positif Docx
id.scribd.com

Soal Dan Pembahasan Bilangan Berpangkat Bulat Positif Bachtiarmath Com
www.bachtiarmath.com

Anak Kelas 9 Yuk Pahami Materi Bilangan Berpangkat Bulat Positif Negatif Dan Nol Ini
www.quipper.com

Pangkat Bulat Negatif Dan Nol Pintar Dengan Matematika
pintardenganmatematika.wordpress.com

Contoh Soal Dan Pembahasan Bilangan Berpangkat Bulat Positif Guru Ilmu Sosial
www.ilmusosial.id

Sederhanakan Pangkat Pecahan Negatif Positif Pembahasan Un Matematika Sma 2017 Jurusan Ipa No 1 Youtube
www.youtube.com

Aturan Pangkat Akar Dan Logaritma Ppt Download
slideplayer.info

Contoh Soal Bilangan Berpangkat Bulat Positif Negatif Dan Nol Buat Kamu Anak Kelas 9
www.quipper.com

Pengertian Bilangan Berpangkat Dan Jenisnya Kelas Pintar
www.kelaspintar.id

Bilangan Berpangkat Positif Merupakan Bilangan Yang Mempunyai Pangkat Eksponen Positif
id.scribd.com

Contoh Soal Bilangan Berpangkat Positif Dan Negatif Skuylahhu
www.skuylahhu.com

Contoh Soal Bilangan Berpangkat Bulat Positif Negatif Dan Nol Buat Kamu Anak Kelas 9
www.quipper.com

Materi Bilangan Bulat Beserta Contoh Soalnya
rumusrumus.com

Materi Pokok Bilangan Berpangkat Bulat Positif
www.scribd.com

Matematika Kelas 9 Bilangan Berpangkat Pengertian Dan Sifatnya
blog.ruangguru.com

Sifat Sifat Bilangan Berpangkat Dan Contohnya Myrightspot Com
www.myrightspot.com

Soal Bilangan Berpangkat Bulat Positif Negatif Dan Nol
www.utakatikotak.com

Pembagian Bilangan Berpangkat Pangkat Nol Dan Pangkat Negatif Dilengkapi Soal Latihan Dan Pembahasan Dari Buku Matematika Smp Kelas Ix Kurikulum 2013 Defantri Com
www.defantri.com

Bilangan Berpangkat Algebros
yeniwidiastuti.wordpress.com

Matematika Kelas 5 100institute
www.seratusinstitute.com

Materi Kelas 9 Pangkat Nol Pangkat Negatif Dan Bentuk Akar Tolong Dibantu Bagi Yang Bisa Soal Yg Brainly Co Id
brainly.co.id

Bilangan Berpangkat Materi Contoh Soal Operasi Hitung Sifat Jenis
www.pintarnesia.com

Sifat Sifat Perkalian Dan Pembagian Bilangan Bulat Berpangkat Bilangan Bulat Positif Rumushitung Com
rumushitung.com

Rangkuman Pangkat Tak Sebenarnya
www.slideshare.net

Bilangan Berpangkat Bilangan Bulat Matematika Punya Cerita
setarsbi.wordpress.com

Bilangan Berpangkat
sumberbelajar.belajar.kemdikbud.go.id

Https Encrypted Tbn0 Gstatic Com Images Q Tbn 3aand9gct2widqlkwyuksskh6aieojjhvorw3uij68wnhm2erynsemfm9q Usqp Cau
encrypted-tbn0.gstatic.com

Menentukan Bilangan Berpangkat Negatif Dan Nol Youtube
www.youtube.com

Contoh Soal Bilangan Berpangkat
rumusrumus.com

Modul Bentuk Pangkat
www.slideshare.net

Mengubah Bilangan Berpangkat Bulat Positif Menjadi Bilangan Berpangkat Bulat Negatif Dan Sebaliknya Youtube
m.youtube.com

Bilangan Berpangkat Lengkap Soal Dan Pembahasan
www.utakatikotak.com

Doc Bilangan Pangkat Contoh Soal Dan Penyelesaian M Syauqi Academia Edu
www.academia.edu

Rangkuman Dan Soal Bilangan Berpangkat Dan Bentuk Akar Materi Belajar Dari Rumah Di Tvri Untuk Smp Semua Halaman Bobo
bobo.grid.id

Bilangan Pangkat Pecahan Pengertian Rumus Sifat Operasi Hitung Dan Contoh Soal Bilangan Pangkat Pecahan Lengkap Pelajaran Sekolah Online
www.pelajaran.co.id

Bilangan Berpangkat Jenis Sifat Operasi Hitung Soal Penyelesaian
www.yuksinau.id

Rangkuman Dan Soal Bilangan Berpangkat Dan Bentuk Akar Materi Belajar Dari Rumah Di Tvri Untuk Smp Semua Halaman Bobo
bobo.grid.id

Bilangan Berpangkat Lengkap Soal Dan Pembahasan
www.utakatikotak.com

Materi Matematika Bentuk Pangkat Pengertian Sifat Sifat Dan Contoh Soal Blog Pak Ipung
www.blog-pak-ipung.com

Doc Bentuk Pangkat Negatif Raffa Rifai Academia Edu
www.academia.edu

Contoh Soal Bilangan Bulat Positif Dan Negatif Dapatkan Contoh
dapatkancontoh.blogspot.com

Contoh Soal Eksponen Bilangan Berpangkat Pangkat Negatif Matematika Sma Ipa Ips 2 Cute766
cute766.info

Bilangan Berpangkat Dan Bentuk Akar
studylibid.com

Soal Dan Pembahasan Bilangan Berpangkat Cute766
cute766.info

Pengertian Bilangan Berpangkat Bulat Negatif Beserta Contoh Soal Dan Pembahasannya Berpendidikan Com
www.berpendidikan.com

Tolong Dijawab Yapertanyaan 1 Nyatakan Bentuk Bentuk Berikut Dalam Bilangan Berpangkat Bilangan Brainly Co Id
brainly.co.id

Bentuk Eksponen Dengan Pangkat Bulat Materi Lengkap Matematika
www.materimatematika.com

Bilangan Berpangkat Jenis Sifat Operasi Hitung Soal Penyelesaian
www.yuksinau.id

Contoh Soal Bilangan Bulat Negatif Positif Contoh Soal M R S Kimia
gudangilmudansoal808.blogspot.com

Matematika Kelas 9 Bilangan Berpangkat Pengertian Dan Sifatnya
blog.ruangguru.com

Matematika Kelas X Bilangan Pangkat Bulat Positif
matematikauntukkelasx.blogspot.com

Soal Bilangan Berpangkat Bulat Positif Negatif Dan Nol
www.utakatikotak.com

Pengertian Dan Sifat Bilangan Berpangkat Beserta Contoh Soalnya
www.belajarmtk.com

Soal Bilangan Berpangkat Bulat Positif Negatif Dan Nol
www.utakatikotak.com

Mari Belajar Bilangan Berpangkat Asyik Belajar
asyikbelajar.com

Doc Bab 5 Bilangan Berpangkat Dan Bentuk Akar Deasyra Syamsudin Academia Edu
www.academia.edu

Contoh Soal Bilangan Berpangkat Positif Dan Negatif Skuylahhu
www.skuylahhu.com

Bilangan Berpangkat Dan Bentuk Akar 9
studylibid.com

Bilangan Berpangkat Dan Bentuk Akar Anikasari
anikasari.wordpress.com

Ubahlah Setiap Bilangan Berpangkat Bulat Positif Berikut Menjadi Bilangan Berpangkat Bulat Brainly Co Id
brainly.co.id

Belajar Penjumlahan Bilangan Berpangkat Negatif Youtube
www.youtube.com

Modul Bentuk Pangkat
www.slideshare.net

Perpangkatan Bilangan Pecahan Rumushitung Com
rumushitung.com

Bilangan Berpangkat Positif Youtube
www.youtube.com

Ringkasan Bilangan Berpangkat Dan Bentuk Akar Dan
mark71.25u.com

Penjumlahan Bilangan Berpangkat Dan Pembahasan Soal Soalnya
mardinata.com

Bilangan Berpangkat Dan Bentuk Akar Pengertian Sifat Contoh Soal
rumusbilangan.com

Contoh Soal Bilangan Berpangkat Bulat Positif Negatif Dan Nol Buat Kamu Anak Kelas 9
www.quipper.com

Bilangan Berpangkat Dan Bentuk Akar Pengertian Sifat Contoh Soal
rumusbilangan.com

Anak Kelas 9 Yuk Pahami Materi Bilangan Berpangkat Bulat Positif Negatif Dan Nol Ini
www.quipper.com

Matematika Kelas 10
mateticku.blogspot.com

Pengertian Bilangan Berpangkat Bulat Negatif Beserta Contoh Soal Dan Pembahasannya Berpendidikan Com
www.berpendidikan.com

Sifat Penjumlahan Dan Pengurangan Bilangan Berpangkat
mafia.mafiaol.com

Contoh Soal Bilangan Berpangkat Bulat Positif Negatif Dan Nol Buat Kamu Anak Kelas 9
www.quipper.com

Contoh Soal Sifat Bilangan Berpangkat Kumpulan Soal Pelajaran 3
kumpulansoal-113.blogspot.com

Contoh Soal Bilangan Berpangkat Bulat Positif Negatif Dan Nol Buat Kamu Anak Kelas 9
www.quipper.com

Matematika Kelas X Bilangan Pangkat Bulat Positif
matematikauntukkelasx.blogspot.com

B Tuliskan Dalam Bentuk Pangkat Positif C Tuliskan Dalam Bentuk Pangkat Negatif Tolong Bantu Brainly Co Id
brainly.co.id

Cara Mengerjakan Bilangan Berpangkat Negatif Guru Ilmu Sosial
www.ilmusosial.id

Bilangan Pecahan Berpangkat Bilangan Bulat Dan Bilangan Bulat Berpangkat Pecahan
amk-affandi.com

Ringkasan Bilangan Berpangkat Dan Bentuk Akar Dan
mark71.25u.com

Contoh Soal Bilangan Berpangkat Bulat Positif Negatif Dan Nol Buat Kamu Anak Kelas 9
www.quipper.com

Matematika Kelas 9 Bilangan Berpangkat Pengertian Dan Sifatnya
blog.ruangguru.com

Modul Bentuk Pangkat
www.slideshare.net

Contoh Soal Dan Pembahasan Bilangan Berpangkat Bulat Positif Guru Ilmu Sosial
www.ilmusosial.id

Modul Bentuk Pangkat
www.slideshare.net

Anak Kelas 9 Yuk Pahami Materi Bilangan Berpangkat Bulat Positif Negatif Dan Nol Ini
www.quipper.com

Mengenal Pangkat Tak Sebenarnya Rumus Matematika
rumus-matematika.com

Sifat Sifat Bilangan Berpangkat Dan Contohnya Myrightspot Com
www.myrightspot.com

Soal Bilangan Berpangkat Bulat Positif Dan Negatif
www.utakatikotak.com

close