Sangat Membantu

Bilangan Asli Kuadrat


Kak Tolong Bantu Ya Sebu Sebutkan Angka Yg Termasuk Bilangan Cacah Asli Genap Ganjil Kuadrat Brainly Co Id
brainly.co.id

Notasi Sigma Yang Menyatakan Penjumlahan Kuadrat Dari 8 Bilangan Asli Pertama Adalah Brainly Co Id
brainly.co.id

Latihan Soal Himpunan Ppt Download
slideplayer.info

Pembuktian Rumus Jumlah Khusus Bilangan Asli
www.kimiamath.com

6 Barisan Deret
www.slideshare.net

Bilangan Cacah Pengertian Himpunan Operasi Dan Contoh Soalnya
rumusrumus.com

Macam Macam Bilangan
pt.slideshare.net

Induksi Matematika Kelas 12
www.slideshare.net

20 Notasi Pembentuk Himpunan Dari 8 1 4 9 Adalah A 8 X 1 X Kuadrat Tiga Bilangan Asli Brainly Co Id
brainly.co.id

Diketahiu A Bilangan Cacah Kuadrat Yang Kurang Dari 20 B Bilangan Genap Kurang Dari Brainly Co Id
brainly.co.id

4 Cara Mudah Menentukan Akar Kuadrat Bilangan Bulat Contoh Soal Dan Pembahasan Materi Smp Blog Mtk Smp
math4junior.blogspot.com

Bab I Teori Bilangan
www.slideshare.net

Gudang Ilmu Menuliskan Bilangan Kuadrat
muhammadrizkifadillah.blogspot.com

Cara Menyelesaikan Akar Kuadrat Bilangan Bulat
www.dosenmatematika.co.id

Contoh Bilangan Cacah Dan Opersi Perhitungannya Cilacap Klik
cilacapklik.com

Teori Bilangan Wardaya College
studylibid.com

Cara Mengerjakan Akar Kuadrat 576 Guru Ilmu Sosial
www.ilmusosial.id

Jumlah Kuadrat Bilangan Berurutan Asimtot S Blog
asimtot.wordpress.com

Diketahui K Himpunan Kuadrat Bilangan Asli Kurang Dari 50 Air Himpunan Bilangan Kelipatan 4 Brainly Co Id
brainly.co.id

Pengertian Kuadrat Dan Akar Kuadrat Bilangan Bulat
mafia.mafiaol.com

Induksi Matematika Membuktikan Jumlah N Suku Pertama Deret Bil Kuadrat Berlaku Untuk N Bil Asli Youtube
www.youtube.com

Kumpulan Soal Jawab Olimpiade Matematika
studylibid.com

Jawaban Buku Matematika Kelas 7 Ayo Kita Berlatih 2 2 Hal 121 Tulislah Anggota Anggota Dari Pentium Sintesi
pentiumsintesi.blogspot.com

Doc Bilangan Asli Terkecil Yang Jika Dikalikan Dengan 420 Menghasilkan Bilangan Kuadrat Sempurna Devor Cooper Academia Edu
www.academia.edu

Diketahui S Bilangan Asli Kurang Dari 11 A Bilangan Kuadrat Kurang Dari 10 B Bilangan Ganjil Brainly Co Id
brainly.co.id

Bilangan Asli Sejarah Pengertian Penulisan Dan Contohnya
rumus.co.id

Kunci Jawaban Diketahui K Himpunan Kuadrat Bilangan Asli Kurang Dari 50 L Himpunan Bilangan Kelipatan 4 Kurang Dari 50 M Himpunan Bilangan Kelipatan 5 Kurang Dari 50 Rofa Education Centre
rofaeducationcentre.blogspot.com

Deret N Bilangan Asli Pertama Youtube
www.youtube.com

Barisan Deret Persamaan Kuadrat Kelompok 14
www.slideshare.net

4 Cara Mudah Menentukan Akar Kuadrat Bilangan Bulat Contoh Soal Dan Pembahasan Materi Smp Blog Mtk Smp
math4junior.blogspot.com

Metode Pembuktian Matematika
www.slideshare.net

Kharisma On Twitter Persamaan Dan Fungsi Kuadrat Persamaan Kuadrat Dalam X Mempunyai Bentuk Umum Ax Bx C 0 Dengan Syarat A 0 Dan A B C Adalah B Bilangan Real Atau Asli Https T Co Sn5pqgqoc5
twitter.com

3 Cara Untuk Menyederhanakan Akar Kuadrat Wikihow
id.wikihow.com

Kelas 7 Himpunan Ayo Kita Berlatih 2 6 Youtube
www.youtube.com

Pengertian Bilangan Dan Macam Macam Bilangan Beserta Contohnya Berpendidikan Com
www.berpendidikan.com

Penarikan Akar Bilangan Asli Ppt Download
slideplayer.info

Makalah Perpangkatan Dan Penarikan Akar Pdf Document
fdokumen.com

Gabungan Dua Himpunan A Himpunan Kuadrat Bilangan Asli Kurang Dari 30 B Himpunan Kelipatan
pdfslide.net

Diketahui Persamaan Kuadrat X2 3x 28 0 Dengan Akar Akar P Dan Q Jika P Bilangan Asli Nilai Brainly Co Id
brainly.co.id

A Untuk Setiap N Bilangan Asli Berlaku 2n Kurang Dari 2n Kuadrat Brainly Brainly Co Id
brainly.co.id

Pengertian Angka Operasi Dan Contoh Bilangan Cacah
rumusbilangan.com

Pola Kuadrat Dari Bilangan 9
studylibid.com

Kelas 07 Smp Matematika S1 Siswa 2017 By P E Thea Issuu
issuu.com

Bilangan Berpangkat Dan Bentuk Akar Anikasari
anikasari.wordpress.com

Penarikan Akar Bilangan Asli Ppt Download
slideplayer.info

Persamaan Dan Pertidaksamaan
studylibid.com

Contoh Pertidaksamaan Kuadrat
id.scribd.com

Himpunan Kuadrat Dari 6 Bilangan Asli Yang Pertama Brainly Co Id
brainly.co.id

Rumus Deret Khusus Paling Lengkap Mathcyber1997
mathcyber1997.com

Bilangan Kuadrat Sempurna Sekaligus Kubik Sempurna
www.kimiamath.com

Himpunan 4
www.slideshare.net

Barisan Deret Persamaan Kuadrat Kelompok 14
www.slideshare.net

Menentukan Jenis Akar Persamaan Kuadrat
maths.id

Contoh Soal Deret Kuadrat Archives Quipper Co Id
quipper.co.id

Penarikan Akar Bilangan Asli Ppt Download
slideplayer.info

Akar Kuadrat Matematika Bersama Soal Soal Dan Jawaban
www.pinterpandai.com

Doc Persamaan Kuadrat Iqbal Syarlin Academia Edu
www.academia.edu

Pembuktian Rumus Jumlah Khusus Bilangan Asli
www.kimiamath.com

Metode Pembuktian Matematika
www.slideshare.net

Tentukan Jumlah 90 Bilangan Asli Pertama Docx
fr.scribd.com

Soal Asli Utbk 2019 Matematika Saintek Persamaan Kuadrat Youtube Matematika Persamaan Asli
id.pinterest.com

Bilangan Cacah Bilangan Genap Bilangan Ganjil Ppt Download
slideplayer.info

Help Set S Himpunan Menunggu Jawaban Berkualitas Dengan Cara Penyelesaian Bertahap Memakai Brainly Co Id
brainly.co.id

Deret Kuadrat N Bilangan Asli Pertama Youtube
www.youtube.com

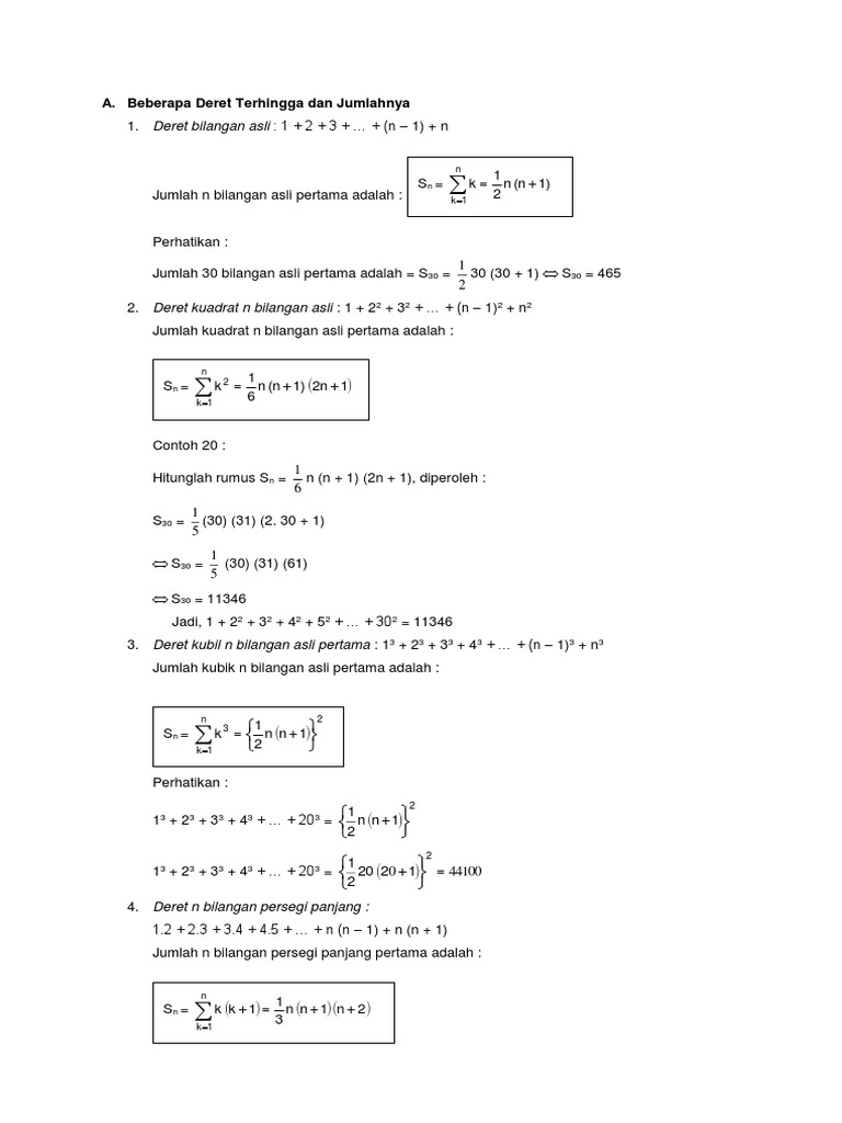
A Beberapa Deret Terhingga Dan Jumlahnya
id.scribd.com

Cara Mengerjakan Akar Kuadrat 256 Guru Ilmu Sosial
www.ilmusosial.id

Teori Bilangan
www.slideshare.net

6 Barisan Deret
www.slideshare.net

Fungsi Kuadrat Beserta Contohnya Dosenpintar
dosenpintar.com

18 Pengertian Dan Contoh Bilangan Prima Bulat Cacah Dll Penulis Cilik
www.penuliscilik.com

Penarikan Akar Bilangan Asli Ppt Download
slideplayer.info

Kunci Jawaban Diketahui K Himpunan Kuadrat Bilangan Asli Kurang Dari 50 L Himpunan Bilangan Kelipatan 4 Kurang Dari 50 M Himpunan Bilangan Kelipatan 5 Kurang Dari 50 Rofa Education Centre
rofaeducationcentre.blogspot.com

Diketahui Persamaan Kuadrat X2 5x 24 0 Dengan Akar Akar P Dan Q Jika P Bilangan Asli Nilai Brainly Co Id
brainly.co.id

Tuliskan Barisan Bilangan Berikut A Barisan Bilangan Kelipatan 3 Kurang Dari 35 B Sepuluh Barisan Brainly Co Id
brainly.co.id

Alternatif Menentukan Akar Akar Persamaan Kuadrat Yang Bukan Bilangan Bulat Putri Jurnal Sains Matematika Dan Statistika
ejournal.uin-suska.ac.id

Himpunan Matematika Kelas 7 Bse Kurikulum 2013 Revisi 2016 Uk 2 Esai No12 Operasi Himpunan Youtube
www.youtube.com

Bilangan Prima Adalah Pengertian Rumus Genap Faktornya
www.dosenpendidikan.co.id

Doc Kumpulan Soal Jawab Olimpiade Matematikadaripertemuan Berau Putri Utiw Academia Edu
www.academia.edu

Deret Bilangan Asli Pertama Dan Kuadrat Ajarin Juseyow Brainly Co Id
brainly.co.id

Gabungan Dua Himpunan A Himpunan Kuadrat Bilangan Asli Kurang Dari 30 B Himpunan Kelipatan Pdf Document
fdokumen.site

Pengertian Bilangan Cacah Dan Bilangan Asli Beserta Contohnya Advernesia
www.advernesia.com

W06 Penerapan Persamaan Dan Fungsi Kuadrat 3 Soal 05w519 Diketahui Tiga Bilangan Asli Yang Jumlahnya 12 Dimana Selisih Bilangan Terbesar Dan Terkecil Adalah 4 Jika Hasil Kali Ketiga
pdfslide.tips

Makalah Perpangkatan Dan Penarikan Akar
id.scribd.com

Himpunan Ppt Download
slideplayer.info

Berhitung Cepat 2 Jumlah Deret Kuadrat N Bilangan Youtube
www.youtube.com

Latihan Soal Himpunan Ppt Download
slideplayer.info

Jumlah Dan Selisih Dua Bilangan Asli Berturut Turut Adalah 17 Dan 7 Tentukan Selisih Kuadrat Kedua Brainly Co Id
brainly.co.id

Bilangan Kuadrat 1 Sampai 300 Pengertian Dan Contoh Soal
rumusrumus.com

Cara Mengerjakan Akar Pangkat 2 Dari 576 Guru Ilmu Sosial
www.ilmusosial.id

Akar Kuadrat Wikipedia Bahasa Indonesia Ensiklopedia Bebas
id.wikipedia.org

Deret Pangkat 3 Dari N Bilangan Asli Pertama Youtube
www.youtube.com

Induksi Matematika Www M4th Lab Net Pdf Induksi Matematika Soal Latihan Induksi Matematika Buktikan Pernyataan Pernyataan Berikut Dengan Induksi Course Hero
www.coursehero.com

Persamaan Pertidaksamaan Baris Dan Deret
studylibid.com

Pengertian Bilangan Cacah Dan Bilangan Asli Beserta Contohnya Advernesia
www.advernesia.com

Latihan Soal Himpunan Kelas 7 2
id.scribd.com

Deret Bilangan Asli Kuadrat Pertama Youtube
www.youtube.com

Pembahasan Soal Deret Bilangan Asli Dan Bilangan Kuadrat Youtube
www.youtube.com

Soal Latihan Induksi Matematika
id.scribd.com

Himpunan Matematika Kelas 7 Bse Kurikulum 2013 Revisi 2016 Lat 2 No 4 Youtube
www.youtube.com

Gabungan Dua Himpunan A Himpunan Kuadrat Bilangan Asli Kurang Dari 30 B Himpunan Kelipatan Pdf Document
fdokumen.site

close